Skip to main content
I Love Education As My Mother Loves Me Reflections  ·  May 22, 2026 I Love Education As My Mother Loves Me ✦ Personal Essay ✦ 5 min read ❧ There is a kind of love that does not ask for anything in return. A love that wakes before you do, that worries about your future while you sleep, that pushes you even when you resent being pushed. It is patient. It is stubborn. It is unconditional. I know this love well — it is the love my mother has always had for me. And strangely, mysteriously, it is the very same love I have come to feel for education. Education, like a mother, does not always give you what you want. It gives you what you need. She Never Let Me Settle My mother never allowed me to be less than I was capable of being. When I brought home a good grade and called it enough, she smiled and said, "What about excellent?" Not out of greed — but out...

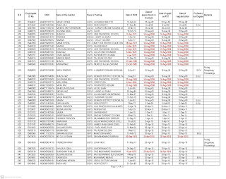
Senority List Of PST FEMALE SBA

 Senority List Of Primary School Teachers Of District SBA Female.

























Comments

Popular posts from this blog

Guess Paper-3 For All Posts

 This is 3rd Guess Paper for all kind of tests and posts.  Solved Guess Paper.

Girls Stipend

 آر ايس يو نے لڑکیوں کے وظیفوں کی آن لائن تصدیق کے لیے ایک ویب لنک شیئر کیا۔ اب  ہر کوئی اپنے بچے کا وظیفہ موبائل پر چیک اور تصدیق کر سکتا ہے لنڪ چيڪ ڪرڻ لاء ھتي ڪلڪ ڪريو

How To Apply For E-Transfer

 SSIMS - School Education & Literacy Department ,  Government of Sindh Procedure to apply for E - Transfer Through Web application Sindh Schools Information & Management System ( SSIMS ) - SE & LD  https://ssims.sindheducation.gov.pk/ Step by step guide *Good News* School Education & Literacy Department, Government of Sindh is going to launch Teacher Transfer Policy from 5th July 2021, through which a teacher can be transfered from one school to another. * Major Policy Terms and Conditions * 1. A teacher may create his account using this link: ssims.sindheducation .gov.pk 2. Three zones have been created by the School Education & Literacy Department Government of Sindh i. Red Zone 🏀: Where Teachers are in excess as per standardized Student Teacher Ratio (STR). ii. Yellow Zone ☀️: Where teachers are sufficient as per standardized Student Teacher Ratio (STR). iii. Green Zone🌳 : Where teachers are in shortage as per standardized Student Teacher Ratio (S...