Skip to main content

The Habit of Reading: A Simple Way to Change Your Life

 In the modern digital world, many people spend hours scrolling through social media but very little time reading books. Reading is one of the most powerful habits that can improve your knowledge, thinking ability, communication skills, and overall personality. A good book can teach lessons that years of experience sometimes cannot. Why Reading Is Important Reading is not only for students or teachers. It is a lifelong habit that benefits everyone. People who read regularly often become more creative, informed, and confident. Reading helps you: Increase knowledge Improve vocabulary and communication Reduce stress Improve focus and memory Develop critical thinking skills Books allow you to learn from successful people, discover new ideas, and understand the world better. Types of Books You Should Read Different types of books provide different benefits. 1. Motivational Books These books inspire you to stay positive and focused on your goals. 2. Educational Books Educational books im...

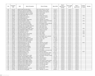
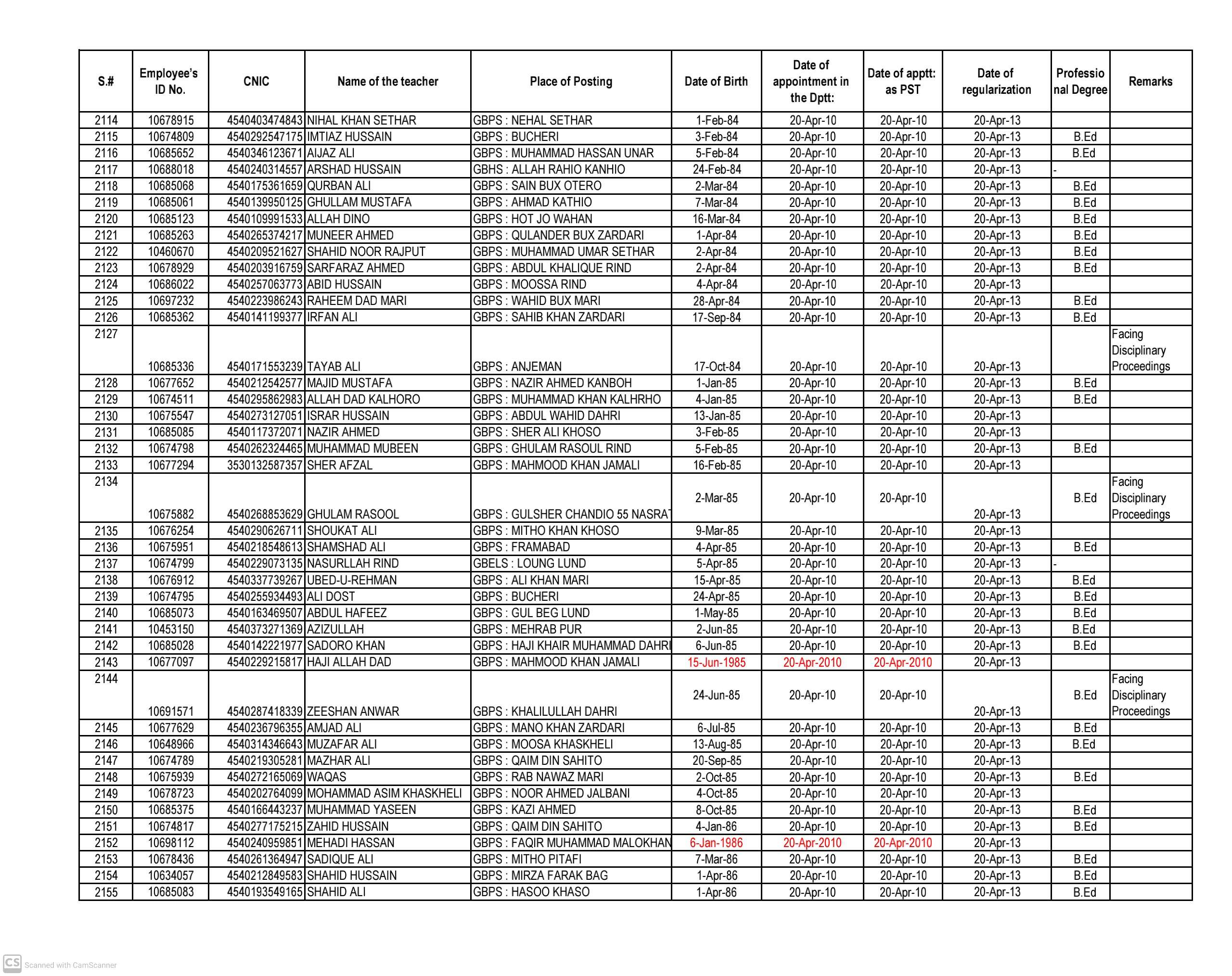
Senority List Of PST Male District SBA

 Senority List Of Primary School Teachers Of District SBA.




































































Comments

Popular posts from this blog

Guess Paper-3 For All Posts

 This is 3rd Guess Paper for all kind of tests and posts.  Solved Guess Paper.

Girls Stipend

 آر ايس يو نے لڑکیوں کے وظیفوں کی آن لائن تصدیق کے لیے ایک ویب لنک شیئر کیا۔ اب  ہر کوئی اپنے بچے کا وظیفہ موبائل پر چیک اور تصدیق کر سکتا ہے لنڪ چيڪ ڪرڻ لاء ھتي ڪلڪ ڪريو

How To Apply For E-Transfer

 SSIMS - School Education & Literacy Department ,  Government of Sindh Procedure to apply for E - Transfer Through Web application Sindh Schools Information & Management System ( SSIMS ) - SE & LD  https://ssims.sindheducation.gov.pk/ Step by step guide *Good News* School Education & Literacy Department, Government of Sindh is going to launch Teacher Transfer Policy from 5th July 2021, through which a teacher can be transfered from one school to another. * Major Policy Terms and Conditions * 1. A teacher may create his account using this link: ssims.sindheducation .gov.pk 2. Three zones have been created by the School Education & Literacy Department Government of Sindh i. Red Zone 🏀: Where Teachers are in excess as per standardized Student Teacher Ratio (STR). ii. Yellow Zone ☀️: Where teachers are sufficient as per standardized Student Teacher Ratio (STR). iii. Green Zone🌳 : Where teachers are in shortage as per standardized Student Teacher Ratio (S...